禁漫

搜索

您的关键词

太阳大气加热和辐射所需要的能量来源问题是日地空间物理的基本问题之一,激波的耗散被猜测是一个重要的渠道。然而一直以来缺乏对激波遥感的诊断方法,导致无法知晓激波的状态,比如激波的压缩比、上下游的温度、上下游的马赫数、传播速度、传播方向等,因而制约了人们对于激波加热太阳大气的认识。

激波定量诊断

禁漫 何建森研究员团队与合作者,针对最新一代的天基太阳光谱成像望远镜(Interface Region Imaging Spectrograph,IRIS)对太阳过渡区的光谱成像观测,提出了激波定量诊断的方法。此方法命名为Shock-ABIS,意为Shock Analysis Based on Imaging Spectrograph。该方法的创新点在于:(1)结合光谱成像的观测数据和激波跃变的理论关系;(2)利用波段随温度的响应函数,考虑电离对辐射强度变化的影响;(3)能够给出平行磁通量管传播的激波的全套参数。

天基太阳过渡区成像光谱仪(IRIS)对太阳大气及其中激波的成像和光谱的同时观测。下图左图为对日面太阳黑子的成像观测,中图为光谱分析得到的多普勒频移的时空切片特征,右图显示中图横虚线位置的光谱轮廓随时间的变化特征。下图事件在Tian et al.(2014)中也曾报道。

为了证明该方法的有效性,研究团队利用正演模拟对方法进行了验证。在正演模型里,他们进行了关于太阳大气激波传播与加热的数值模拟,沿着不同的视线方向对受激波扰动前后的太阳大气做相应的光谱合成。基于合成光谱的时空变化,该方法给出了激波诊断的全套参数,并且和模型中的激波参数几乎一致。

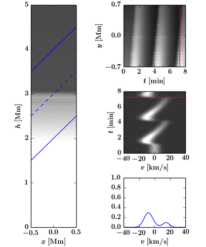
太阳大气中激波传播的正演模拟结果。左侧为分层大气密度随高度的变化及其受激波传播的扰动,图中的倾斜蓝线为视线方向,两条蓝色实线为仿真光谱仪前端的狭缝能观测的范围。右侧从下到上依次为狭缝中间位置的合成光谱轮廓的时变特征、狭缝中间位置的合成光谱轮廓的时间堆叠图、沿着狭缝方向的光谱强度的时空切片。

利用正演模拟对诊断方法的可行性进行验证:正演模拟的激波参数与方法诊断结果基本一致

研究团队利用该方法,对太阳过渡区的激波活动进行了首次定量诊断。诊断显示,激波的上、下游马赫数分别为1.3和0.8,激波的传播速度为50公里/秒,激波下游温度升高约两万度。研究结果表明,激波能够有效地加热乃至电离太阳大气,为太阳大气的辐射和热动力学供应必要的能量。

对太阳大气中激波序列的定量诊断结果

该研究工作近期发表在Astrophys. J.(ApJ)上,被选为美国天文学会期刊的研究亮点(亮点报道题目为“太阳大气中的激波”),被认为是“更进一步理解太阳大气的加热之谜”“是认识激波如何与太阳大气动态耦合并如何存放热量的关键一步”。除禁漫 为第一作者单位外,该研究的合作单位还有中国科学院地质与地球物理研究所、比利时鲁汶大学。论文作者除何建森之外,还有:阮文治(禁漫 硕士毕业,现为比利时鲁汶大学博士生)、闫丽梅(北大博士毕业,现为中科院地质地球所“博新计划”博士后)、王玲华研究员(禁漫 )、魏勇研究员(中科院地质地球所)。研究工作得到国家自然科学基金创新研究群体、面上项目以及中组部青年拔尖人才计划的支持。

上一篇:地空学院张立飞课题组在俯冲带深部碳循环方面取得重要进展: 在榴辉岩中发现了非生物成因的CH4,为“俯冲带加工厂”生成碳氢化合物提供了关键性证据

下一篇:地空学院刘曦课题组报道镁铝尖晶石中的无序硅, 颠覆地幔转换带主要矿物林伍德石具有有序结构的传统观点